御東興云首席住宅小區建設項目規劃許可公示
發布時間:2019-05-23 來源:大同市規劃和自然資源局 編輯:Rui
手機看文章
文興首席預售許可證信息:(2020)晉商房同字第03號
本頁面的預售許可證信息為當前信息發布時所展示,僅供參考。最新信息請前往樓盤主頁查看。
摘要:御東新區又有新樓盤了,興云首席住宅小區建設項目規劃許可公示了,快來了解一下吧!
咨詢電話:400 876 0352 轉 0000

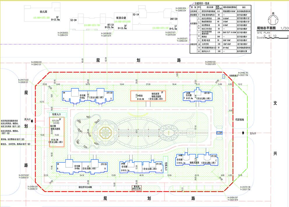
項目名稱:興云首席住宅小區建設項目
項目位置:文興路西側
占地面積:26650㎡
建筑面積:60915㎡
建筑密度:13.8%
容積率:2.286
綠地率:35%
停車位:505
以下是興云首席住宅項目規劃總平面布置圖和日照平面等時線圖:

項目規劃總平面布置圖

日照平面等時線圖
據小編了解,興云首席住宅小區項目是2018年12月20日大同土地掛牌出讓中大同市圣邦房地產開發有限公司、山西盛世銘達房地產開發有限公司聯合競得的2018-35地塊。關于興云首席住宅小區,更多樓盤信息小編會持續報道,敬請關注0352房網!